Para qué sirve y cómo se calcula la TIR o tasa interna de retorno
Cuando nos planteamos realizar una inversión, lo primero en lo que pensamos es qué tipo de interés mínimo debemos obtener para que el proyecto sea viable. Para ello, existe una herramienta que nos ayudará a medir, analizar y comparar la rentabilidad que ofrece nuestra inversión: la TIR o tasa interna de retorno (Internal Rate of Return (IRR), por sus siglas en inglés).
Se trata de un indicador de rentabilidad que nos permite estimar la viabilidad económica que podría tener nuestra inversión antes de realizarla, ya que nos proporciona la información necesaria para calcular el porcentaje de beneficio o pérdidas de la misma, es decir, si nuestra inversión será inferior, igual o superior al coste de realizarla.
La TIR es una medida financiera que pueden utilizar tanto emprendedores como empresas para tomar la decisión que mejor se adapte al riesgo que están dispuestos a asumir. Existen dos factores que se deben considerar en todo momento.
El primero es el coste de oportunidad, que indica que la inversión es rentable si la TIR está por encima de este coste, y la desaconseja en el caso de que esté por debajo. El segundo es la tasa de interés máximo, que hace referencia al tipo de interés que se establece para financiar el proyecto.
¿Cómo se calcula la TIR?
En la práctica, imaginemos que estamos interesados en invertir 20.000€ en un nuevo proyecto tecnológico. Para comprobar la rentabilidad que nos daría a futuro, utilizaremos la fórmula de la TIR, en la que distinguimos los siguientes parámetros:
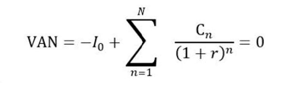
- I0: inversión inicial.
- Cn: flujo de caja o de beneficios generados en la inversión por cada periodo.
- N: número total de períodos.
- n: año en el que se van obteniendo los beneficios de cada periodo.
- r: TIR
La TIR está estrechamente relacionada con el Valor Neto Actual (VAN), una herramienta que calcula el total de flujos de caja, actualizando los cobros y pagos de un proyecto o inversión a una tasa de interés determinada. En términos prácticos, se corresponde con el valor inicial de la inversión e incluye todos los gastos asociados a la misma. La TIR es la tasa de interés o rentabilidad que iguala en el presente los flujos de efectivo futuros de una inversión, incluyendo tanto los ingresos como los cobros, generando un VAN igual a cero.
En nuestro ejemplo, predecimos que la inversión en un año valdrá 25.000€ y, contando con que el VAN es igual a cero, la fórmula sería la siguiente:
VAN = -20.000 + 25.000 / (1+ TIR) = 0
Al calcularlo, obtenemos una TIR del 25%. Si nuestro objetivo de rentabilidad mínima estaba fijado en un 20%, el proyecto será viable y resultaría rentable realizar la inversión. Si, por contra, la TIR que obtenemos es inferior al tipo de interés mínimo establecido, no sería rentable invertir en este proyecto, ya que no estaríamos cubriendo los costes de la inversión realizada. Conocer la TIR nos ayuda a tomar mejores decisiones, ofreciéndonos información sobre los beneficios o pérdidas que podríamos obtener respecto a nuestra inversión inicial. Además, nos puede servir para hacer comparativas entre distintos proyectos o inversiones particulares y medir sus distintas rentabilidades.
